|
Engineering Math |
||
|
Conditional Probability
For this topic, I just put the link to the topic Conditional Probabliy in MathIsFun. This is the best explanation that I could find and I don't think I can do better than this.
Why we care about this ? One of the very important technique (topics) in engineering is the application of Bayes rule (Bayesian probability) and the conditional probablity is a core of Bayes rule.
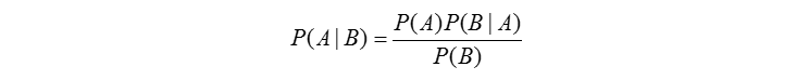
Bayes Rule
Regarding the intuitive explanation of the Bayes Rule, I would recommed this video(From 00:15:00). Watch the video first and then check if this equation and illustration make sense to you.
|
||






